This site uses cookies to improve your browsing experience. we’ll assume you’re OK to continue. If you want to read more about this, please chick
PRIVACY
,thank you.
×
TAIWAN HEAT TRANSFER CO.,LTD.
Search:
Language
繁體中文
English
Company
About Us
Main Business Projects
Future Outlook
Project
Shell and Tube Heat Exchanger
Fin Tube Heat Exchanger
Power Plant Heat Exchangers and Deaerators
Air Cooled Condenser (ACC)
Plate Heat Exchanger
Gas-to-Gas Heat Exchanger
Double-Pipe Heat Exchanger
Waste Heat Boiler
Electric Heater
Pressure Vessel
Food Grade Equipment
Reactors and Agitators
Dryer
Demister / Gas-Liquid Separator
Modular Process Skid Systems
Pilot Plants & Turnkey Project Solutions
Retubing On-Site Services
Lithium Bromide Absorption Chiller
Lithium Bromide Absorption Heat Pump
Ejector
Special Metal Welding
Agent
Dunham-Bush Chiller
High-Efficiency Screw Chiller WCFX-E
Variable Frequency Screw Chiller WCFX-V
Dual-Stage Centrifugal Chiller DCLC-D
Dual-Compressor Variable Frequency Magnetic Levitation Centrifugal Chiller DCLC-M
Other DB products
SPX Flow
APV Plate Heat Exchanger
APV Homogenizer
APV & WCB Food Grade Pump
APV & WCB Food Grade Valves
APV Food Grade Production Line Equipment
Seital Centrifuge
Scraped Surface Heat Exchanger
APV Double Tube Sheet Cleanable Heat Exchanger
APV UHT Sterilization System
SPX FLOW Genuine Spare Parts & Services
Shuangliang Group
Shuangliang Air Cooling
Heat Exchange Equipment for Power Plants
Shuangliang High Efficiency Heat Exchanger
Shuangliang Seawater Desalination
Air Cooling & Drift Elimination Towers
Electrode Boilers and Heat Storage
MOON-TECH
Industrial Low-Temperature Refrigeration System
Process Compressor / Booster
Lithium Bromide Absorption Chiller
ECO
Lithium Bromide Absorption Chiller
Lithium Bromide Absorption Heat Pumps
Waste Heat Boiler
Process Optimization
Heat Recovery
Cooling Tower Retrofit
Steam Recovery
Flue Gas Treatment & White Plume Control
VOC Condensation Recovery
Energy-saving Fans & VFD
Heat Recovery & Inlet Cooling
CO₂ Capture
Sharing
Inspection Decision Flowchart
Type I Pressure Vessel Decision Flowchart
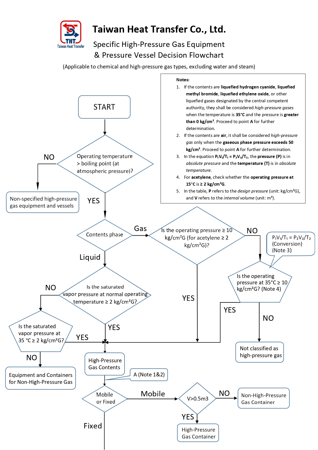
Specific High-Pressure Gas Equipment & Pressure Vessel Decision Flowchart
Once-through Boiler Inspection Decision Flowchart
Steam & Hot Water Boiler Inspection Decision Flowchart
TEMA Selection Guidelines
Introduction to Lithium Bromide Absorption Chiller
ACC Technology Overview
Duplex Stainless Steel Overview & Welding
Contact
Download
Dunham-Bush Chiller Product Catalog
SPX Flow Product Catalog
Shuangliang Group Product Catalog
MOON-TECH Product Catalog
Sharing
HOME
Sharing
Specific High-Pressure Gas Equipment & Pressure Vessel Decision Flowchart
Inspection Decision Flowchart
Specific High-Pressure Gas Equipment & Pressure Vessel Decision Flowchart
11
11
2025
Specific High-Pressure Gas Equipment & Pressure Vessel Decision Flowchart
Share to Facebook
Share to Twitter
Share to Plurk
Share to LINE
Share to Linkedin
Share to Whatsapp
Share to Weibo
Share to Blogger
Share to Gmail
Back
Search
Contact
HOME
Search:
Language
繁體中文
English
Company
About Us
Main Business Projects
Future Outlook
Project
Shell and Tube Heat Exchanger
Fin Tube Heat Exchanger
Power Plant Heat Exchangers and Deaerators
Air Cooled Condenser (ACC)
Plate Heat Exchanger
Gas-to-Gas Heat Exchanger
Double-Pipe Heat Exchanger
Waste Heat Boiler
Electric Heater
Pressure Vessel
Food Grade Equipment
Reactors and Agitators
Dryer
Demister / Gas-Liquid Separator
Modular Process Skid Systems
Pilot Plants & Turnkey Project Solutions
Retubing On-Site Services
Lithium Bromide Absorption Chiller
Lithium Bromide Absorption Heat Pump
Ejector
Special Metal Welding
Agent
Dunham-Bush Chiller
High-Efficiency Screw Chiller WCFX-E
Variable Frequency Screw Chiller WCFX-V
Dual-Stage Centrifugal Chiller DCLC-D
Dual-Compressor Variable Frequency Magnetic Levitation Centrifugal Chiller DCLC-M
Other DB products
SPX Flow
APV Plate Heat Exchanger
APV Homogenizer
APV & WCB Food Grade Pump
APV & WCB Food Grade Valves
APV Food Grade Production Line Equipment
Seital Centrifuge
Scraped Surface Heat Exchanger
APV Double Tube Sheet Cleanable Heat Exchanger
APV UHT Sterilization System
SPX FLOW Genuine Spare Parts & Services
Shuangliang Group
Shuangliang Air Cooling
Heat Exchange Equipment for Power Plants
Shuangliang High Efficiency Heat Exchanger
Shuangliang Seawater Desalination
Air Cooling & Drift Elimination Towers
Electrode Boilers and Heat Storage
MOON-TECH
Industrial Low-Temperature Refrigeration System
Process Compressor / Booster
Lithium Bromide Absorption Chiller
ECO
Lithium Bromide Absorption Chiller
Lithium Bromide Absorption Heat Pumps
Waste Heat Boiler
Process Optimization
Heat Recovery
Cooling Tower Retrofit
Steam Recovery
Flue Gas Treatment & White Plume Control
VOC Condensation Recovery
Energy-saving Fans & VFD
Heat Recovery & Inlet Cooling
CO₂ Capture
Sharing
Inspection Decision Flowchart
Type I Pressure Vessel Decision Flowchart
Specific High-Pressure Gas Equipment & Pressure Vessel Decision Flowchart
Once-through Boiler Inspection Decision Flowchart
Steam & Hot Water Boiler Inspection Decision Flowchart
TEMA Selection Guidelines
Introduction to Lithium Bromide Absorption Chiller
ACC Technology Overview
Duplex Stainless Steel Overview & Welding
Contact
Download
Dunham-Bush Chiller Product Catalog
SPX Flow Product Catalog
Shuangliang Group Product Catalog
MOON-TECH Product Catalog
+88673510926
nina.wu@thtco.com.tw